Ответы
Ответ дал:
0
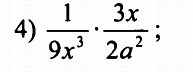
4) числитель 1*3*х
знаменатель 9*х*х*х*2*а*а
сокращаем 3 и 9 в знаменателе останется 3
сокращаем х: в числителе вместо х будет 1. в знаменателе х в квадрате
ответ 1 / (6х*х*а*а)
знаменатель 9*х*х*х*2*а*а
сокращаем 3 и 9 в знаменателе останется 3
сокращаем х: в числителе вместо х будет 1. в знаменателе х в квадрате
ответ 1 / (6х*х*а*а)
Приложения:
Ответ дал:
0
спасибо
Вас заинтересует
2 года назад
2 года назад
8 лет назад
8 лет назад
10 лет назад
10 лет назад
11 лет назад
11 лет назад