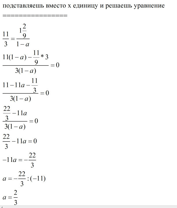
Ответы
Ответ дал:
0
=================================================
Приложения:

Ответ дал:
0
это вы сами решали или где-то нашли????????????
Вас заинтересует
2 года назад
2 года назад
7 лет назад
7 лет назад
10 лет назад
10 лет назад