• Предмет: Алгебра
  • Автор: 20Анастасия02
  • Вопрос задан 10 лет назад

Помогите пожалуйста найти неизвестный Х !!

Приложения:

Ответы

Ответ дал: mukus13
0
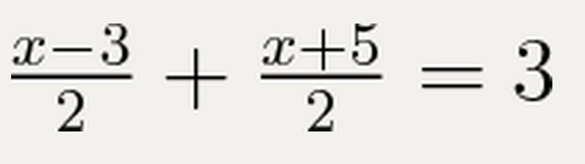
 frac{x-3}{2} + frac{x+5}{2} =3

 frac{x-3+x+5}{2} =3

 frac{2x+2}{2}=3

 frac{2(x+1)}{2} =3

x+1=3

x=3-1

x=2

Ответ: 2
Вас заинтересует