Ответы
Ответ дал:
0
В уравнениях с модулями нужно рассматривать точки, в которых модуль = 0
Если мы рассматриваем промежуток, в котором х меньше этой точки, то модуль раскрывается, как противоположное число, то есть с минусом.
Если х больше или равен этой точки, то модуль раскрывается, как равное число, то есть с плюсом.
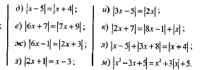
д) |x - 5| = |x + 4|
Тут две точки: -4 и 5. Рассматриваем 3 промежутка:
1) x < -4 < 5, тогда |x+4| = -x-4, |x-5| = 5-x
5 - x = -x - 4
5 = -4 решений нет
2) -4 <= x < 5, тогда |x+4| = x+4, |x-5| = 5-x
x + 4 = 5 - x
2x = 1, x = 1/2 - попадает в промежуток, подходит.
x1 = 1/2
3) x >= 5 > -4, тогда |x+4| = x+4, |x-5| = x-5
x + 4 = x - 5
4 = -5, решений нет.
Ответ: 1/2
Дальше я буду писать более сжато, потому что все аналогично
е) |6x + 7| = |7x + 9|
-9/7 = -54/42; -7/6 = -49/42;
-49/42 > -54/42, поэтому -7/6 > -9/7
1) x < -9/7, |7x + 9| = -7x - 9, |6x + 7| = -6x - 7
-7x - 9 = -6x - 7
7 - 9 = -6x + 7x
x = -2 = -14/7 < -9/7 - подходит
x1 = -2
2) -9/7 <= x < -7/6, |7x + 9| = 7x + 9; |6x + 7| = -6x - 7
7x + 9 = -6x - 7
13x = -16
x = -16/13 = -112/91; -9/7 = -117/91 < -112/91
x = -16/13 = -96/78; -7/6 = -91/78 > -96/78
Это значит, что х попадает в промежуток и подходит
x2 = -16/13
3) x >= -7/6, |7x + 9| = 7x + 9; |6x + 7| = 6x + 7
7x + 9 = 6x + 7
x = -2 < -7/6 - не подходит
Ответ: -2, -16/13
ж) |6x - 1| = |2x + 3|
1) x < -3/2, |2x + 3| = -2x - 3; |6x - 1| = 1 - 6x
1 - 6x = -2x - 3
4 = 4x; x = 1 > -3/2 - не подходит
2) -3/2 <= x < 1/6, |2x + 3| = 2x + 3, |6x - 1| = 1 - 6x
2x + 3 = 1 - 6x
8x = -2; x = -1/4, в промежуток попадает, подходит.
x1 = -1/4
3) x >= 1/6; |2x + 3| = 2x + 3; |6x - 1| = 6x - 1
2x + 3 = 6x - 1
4 = 4x; x = 1 > 1/6 - подходит
x2 = 1
Ответ: -1/4, 1
з) |2x + 1| = x - 3
1) x < -1/2; |2x + 1| = -2x - 1
-2x - 1 = x - 3
2 = 3x; x = 2/3 > -1/2 - не подходит
2) x >= -1/2; |2x + 1| = 2x + 1
2x + 1 = x - 3
x = -4 < -1/2 - не подходит
Ответ: решений нет
и) |3x - 5| = |2x|
Сделай самостоятельно, там все точно также. Мне уже надоело.
к) |2x + 7| = |8x - 1| + |x|
1) x < -7/2, |2x+7| = -2x-7; |x| = -x; |8x-1| = 1-8x
-2x - 7 = 1 - 8x - x
7x = 8; x = 8/7 > -7/2 - не подходит
2) -7/2 <= x < 0; |2x+7| = 2x+7, |x| = -x; |8x-1| = 1-8x
2x + 7 = 1 - 8x - x
11x = -6; x = -6/11 - в промежуток попадает, подходит
x1 = -6/11
3) 0 <= x < 1/8; |2x+7| = 2x+7; |x| = x; |8x-1| = 1-8x
2x + 7 = 1 - 8x + x
9x = -6; x = -6/9 = -2/3 < 0 - не подходит
4) x >= 1/8; |2x+7| = 2x+7; |x| = x; |8x-1| = 8x-1
2x + 7 = 8x + 1 + x
6 = 7x; x = 6/7 > 1/8 - подходит
x2 = 6/7
Ответ: -6/11: 6/7
л) |x - 5| + |3x + 8| = |x + 4|
Тоже сделай самостоятельно, так же, как к)
м) |x^2 - 3x + 5| = x^2 + 3|x| + 5
Найдем, где левая часть положительна и отрицательна
D = 3^2 - 4*5 = 9 - 20 < 0
Корней нет, левая часть положительна при любом х, модуль снимаем.
1) x < 0, |x| = -x
x^2 - 3x + 5 = x^2 - 3x + 5
Это верно при всех x < 0
2) x >= 0, |x| = x
x^2 - 3x + 5 = x^2 + 3x + 5
-3x = 3x; x = 0 - подходит
Ответ: x <= 0
Если мы рассматриваем промежуток, в котором х меньше этой точки, то модуль раскрывается, как противоположное число, то есть с минусом.
Если х больше или равен этой точки, то модуль раскрывается, как равное число, то есть с плюсом.
д) |x - 5| = |x + 4|
Тут две точки: -4 и 5. Рассматриваем 3 промежутка:
1) x < -4 < 5, тогда |x+4| = -x-4, |x-5| = 5-x
5 - x = -x - 4
5 = -4 решений нет
2) -4 <= x < 5, тогда |x+4| = x+4, |x-5| = 5-x
x + 4 = 5 - x
2x = 1, x = 1/2 - попадает в промежуток, подходит.
x1 = 1/2
3) x >= 5 > -4, тогда |x+4| = x+4, |x-5| = x-5
x + 4 = x - 5
4 = -5, решений нет.
Ответ: 1/2
Дальше я буду писать более сжато, потому что все аналогично
е) |6x + 7| = |7x + 9|
-9/7 = -54/42; -7/6 = -49/42;
-49/42 > -54/42, поэтому -7/6 > -9/7
1) x < -9/7, |7x + 9| = -7x - 9, |6x + 7| = -6x - 7
-7x - 9 = -6x - 7
7 - 9 = -6x + 7x
x = -2 = -14/7 < -9/7 - подходит
x1 = -2
2) -9/7 <= x < -7/6, |7x + 9| = 7x + 9; |6x + 7| = -6x - 7
7x + 9 = -6x - 7
13x = -16
x = -16/13 = -112/91; -9/7 = -117/91 < -112/91
x = -16/13 = -96/78; -7/6 = -91/78 > -96/78
Это значит, что х попадает в промежуток и подходит
x2 = -16/13
3) x >= -7/6, |7x + 9| = 7x + 9; |6x + 7| = 6x + 7
7x + 9 = 6x + 7
x = -2 < -7/6 - не подходит
Ответ: -2, -16/13
ж) |6x - 1| = |2x + 3|
1) x < -3/2, |2x + 3| = -2x - 3; |6x - 1| = 1 - 6x
1 - 6x = -2x - 3
4 = 4x; x = 1 > -3/2 - не подходит
2) -3/2 <= x < 1/6, |2x + 3| = 2x + 3, |6x - 1| = 1 - 6x
2x + 3 = 1 - 6x
8x = -2; x = -1/4, в промежуток попадает, подходит.
x1 = -1/4
3) x >= 1/6; |2x + 3| = 2x + 3; |6x - 1| = 6x - 1
2x + 3 = 6x - 1
4 = 4x; x = 1 > 1/6 - подходит
x2 = 1
Ответ: -1/4, 1
з) |2x + 1| = x - 3
1) x < -1/2; |2x + 1| = -2x - 1
-2x - 1 = x - 3
2 = 3x; x = 2/3 > -1/2 - не подходит
2) x >= -1/2; |2x + 1| = 2x + 1
2x + 1 = x - 3
x = -4 < -1/2 - не подходит
Ответ: решений нет
и) |3x - 5| = |2x|
Сделай самостоятельно, там все точно также. Мне уже надоело.
к) |2x + 7| = |8x - 1| + |x|
1) x < -7/2, |2x+7| = -2x-7; |x| = -x; |8x-1| = 1-8x
-2x - 7 = 1 - 8x - x
7x = 8; x = 8/7 > -7/2 - не подходит
2) -7/2 <= x < 0; |2x+7| = 2x+7, |x| = -x; |8x-1| = 1-8x
2x + 7 = 1 - 8x - x
11x = -6; x = -6/11 - в промежуток попадает, подходит
x1 = -6/11
3) 0 <= x < 1/8; |2x+7| = 2x+7; |x| = x; |8x-1| = 1-8x
2x + 7 = 1 - 8x + x
9x = -6; x = -6/9 = -2/3 < 0 - не подходит
4) x >= 1/8; |2x+7| = 2x+7; |x| = x; |8x-1| = 8x-1
2x + 7 = 8x + 1 + x
6 = 7x; x = 6/7 > 1/8 - подходит
x2 = 6/7
Ответ: -6/11: 6/7
л) |x - 5| + |3x + 8| = |x + 4|
Тоже сделай самостоятельно, так же, как к)
м) |x^2 - 3x + 5| = x^2 + 3|x| + 5
Найдем, где левая часть положительна и отрицательна
D = 3^2 - 4*5 = 9 - 20 < 0
Корней нет, левая часть положительна при любом х, модуль снимаем.
1) x < 0, |x| = -x
x^2 - 3x + 5 = x^2 - 3x + 5
Это верно при всех x < 0
2) x >= 0, |x| = x
x^2 - 3x + 5 = x^2 + 3x + 5
-3x = 3x; x = 0 - подходит
Ответ: x <= 0
Ответ дал:
0
Берегите себя, достаточно 2-3 .
Вас заинтересует
3 года назад
8 лет назад
8 лет назад
10 лет назад
10 лет назад