• Предмет: Алгебра
  • Автор: Kostavajorji
  • Вопрос задан 10 лет назад

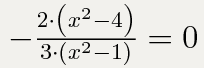
Как решается это уравнение?

Приложения:

Ответы

Ответ дал: Аноним
0
сначала надо найти числитель, затем знаменатель, потом потом записать 2 уравнения ( одно с числителем, а другое со знаменателем) и решить.
Вас заинтересует
10 лет назад