Ответы
Ответ дал:
0
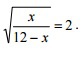
Возведем все в квадрат


4(12-x)=x
48-4x=x
48=5x

По ОДЗ подходит
4(12-x)=x
48-4x=x
48=5x
По ОДЗ подходит
Вас заинтересует
3 года назад
3 года назад
8 лет назад
8 лет назад
10 лет назад
11 лет назад
11 лет назад