Ответы
Ответ дал:
0
16x-y - 3x+5y = 16x-y-3x-5y = 13x-6y
12x 12x 12x 12x
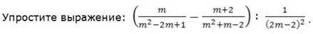
( m - m+2 ) : 1 = 4
(m²-2m+1 m²+m-2) (2m-2)²
1) m - m+2 = m - m+2 =
m² -2m+1 m²+m-2 (m-1)² (m+2)(m-1)
_______________________________
Разложим m²+m-2 на множители:
m²+m-2=0
D=1+8=9
m₁= -1-3 = -2
2
m₂ = -1+3 = 1
2
m²+m-2 = (m+2)(m-1)
= m - 1 = m - (m-1) = 1
(m-1)² m-1 (m-1)² (m-1)²
2) 1 : 1 = 1 * (2(m-1))² = 2² =4
(m-1)² (2m-2)² (m-1)² 1
x⁵ +1 = x⁵ +1 = 1
x⁸ +x³ x³(x⁵+1) x³
При х=0,1
1 = 0,1⁻³ = (10⁻¹)⁻³ = 10³ = 1000
0,1³
(2p²)⁴ = 16p⁸
( c³ ) c¹²
a² : 2 * 8 = a² * (a² - 3) * 8 = 4 (a² -3)
a-3 a² -3 5a² (a-3) * 2 * 5a² 5 (a-3)
При а=2,5
4 (2,5² -3) = 4 (6,25 -3) = 4 * 3,25 = - 5,2
5 (2,5 -3) 5 * (-0,5) -2,5
12x 12x 12x 12x
( m - m+2 ) : 1 = 4
(m²-2m+1 m²+m-2) (2m-2)²
1) m - m+2 = m - m+2 =
m² -2m+1 m²+m-2 (m-1)² (m+2)(m-1)
_______________________________
Разложим m²+m-2 на множители:
m²+m-2=0
D=1+8=9
m₁= -1-3 = -2
2
m₂ = -1+3 = 1
2
m²+m-2 = (m+2)(m-1)
= m - 1 = m - (m-1) = 1
(m-1)² m-1 (m-1)² (m-1)²
2) 1 : 1 = 1 * (2(m-1))² = 2² =4
(m-1)² (2m-2)² (m-1)² 1
x⁵ +1 = x⁵ +1 = 1
x⁸ +x³ x³(x⁵+1) x³
При х=0,1
1 = 0,1⁻³ = (10⁻¹)⁻³ = 10³ = 1000
0,1³
(2p²)⁴ = 16p⁸
( c³ ) c¹²
a² : 2 * 8 = a² * (a² - 3) * 8 = 4 (a² -3)
a-3 a² -3 5a² (a-3) * 2 * 5a² 5 (a-3)
При а=2,5
4 (2,5² -3) = 4 (6,25 -3) = 4 * 3,25 = - 5,2
5 (2,5 -3) 5 * (-0,5) -2,5
Вас заинтересует
3 года назад
8 лет назад
10 лет назад
10 лет назад
11 лет назад
11 лет назад