Ответы
Ответ дал:
0
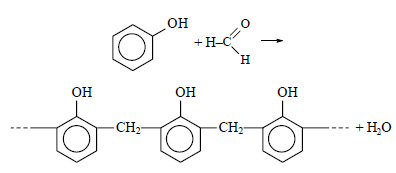
Можно в 4 стадии:
1) CH₄ + Cl₂ ---> CH₃Cl + HCl
2) CH₃Cl + KOH --> CH₃OH + KCl
3) CH₃OH + CuO --> HCHO + Cu + H₂O
4)
Приложения:

Вас заинтересует
2 года назад
2 года назад
8 лет назад
8 лет назад
10 лет назад
10 лет назад
10 лет назад