Ответы
Ответ дал:
0
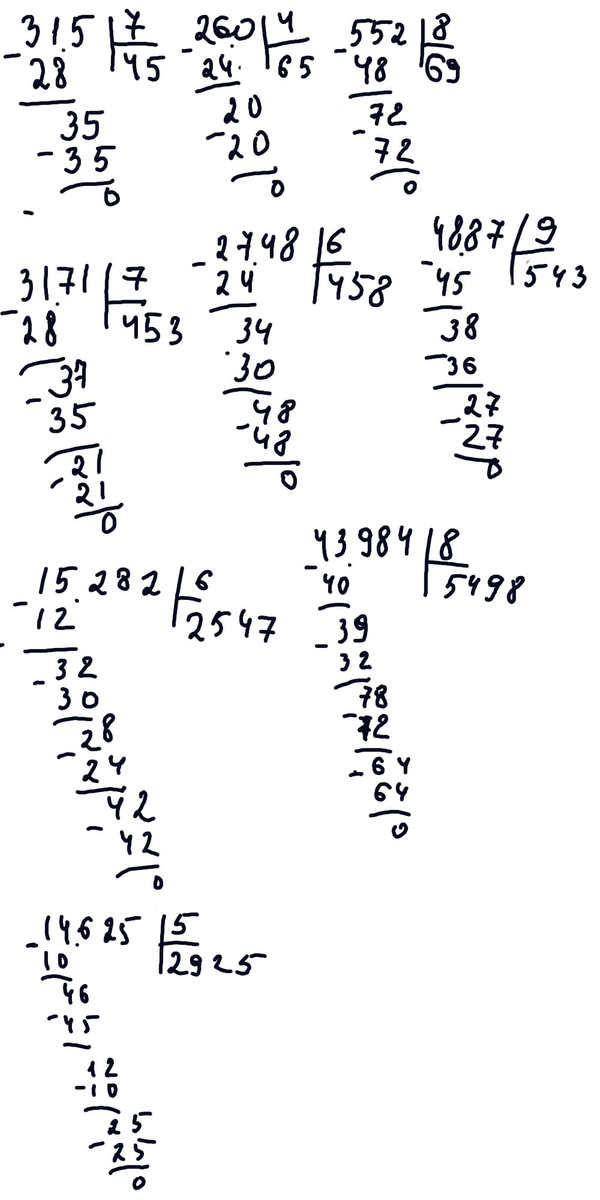
315:7=45
260:4=65
552:8=69
3171:7=452
2748:6=458
4887:9=543
15282:6=2547
43984:8=5498
14625:5=2925
260:4=65
552:8=69
3171:7=452
2748:6=458
4887:9=543
15282:6=2547
43984:8=5498
14625:5=2925
Ответ дал:
0
простите за корявый почерк, но зато столбиком, как и просили
Приложения:

Вас заинтересует
2 года назад
7 лет назад
7 лет назад
10 лет назад
10 лет назад
10 лет назад
10 лет назад