• Предмет: Математика
  • Автор: СнежкаБентли
  • Вопрос задан 10 лет назад

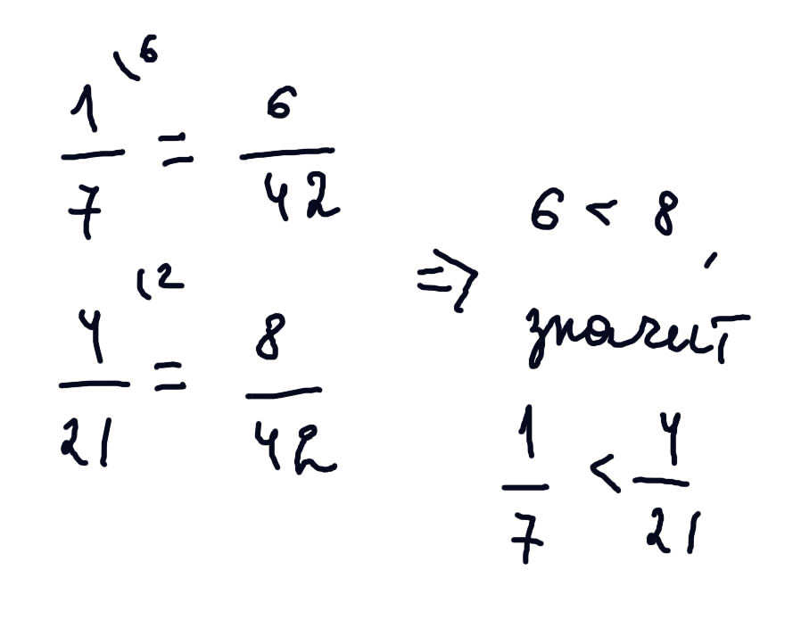
подскажите, какая дробь больше - 1 или 4
- -
7 21

Ответы

Ответ дал: Elviraww
0
смотрите ответ на рисунке
Приложения:
Вас заинтересует