• Предмет: Алгебра
  • Автор: tigr109
  • Вопрос задан 11 лет назад

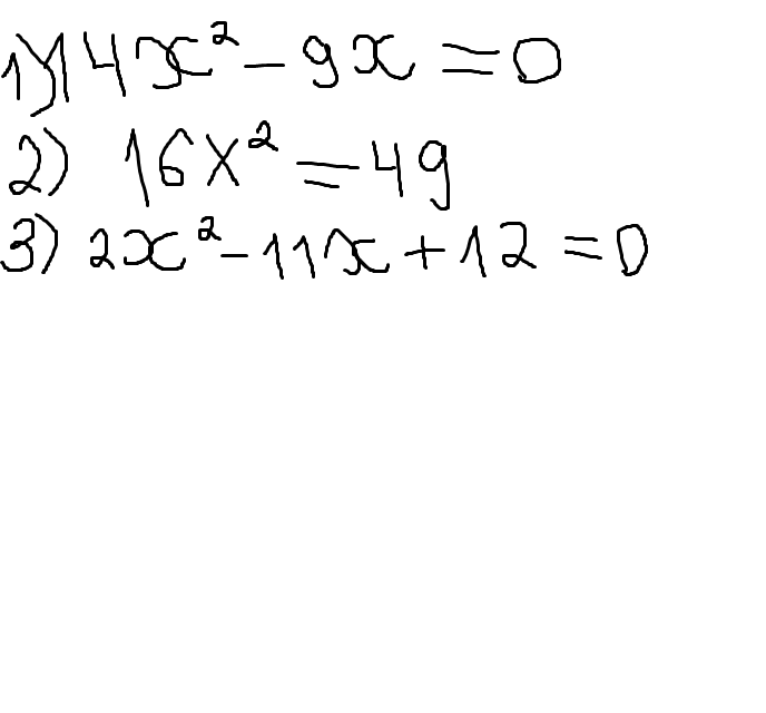
Решить уравнение по алгебре 8 класс.

Приложения:

Ответы

Ответ дал: NatashaKH
0

х(14х-9)=0

х=0 и

14х-9=0, 14х=9, х=9/14

 

16х*2=49

х*2=49/16

х=+-7/4

 

2х*2-11х+12=0

D= 121-96=25. корень из Д = 5

х1=11+5/4=4

х2=11-5/4=6/4=3/2=1,5

Вас заинтересует