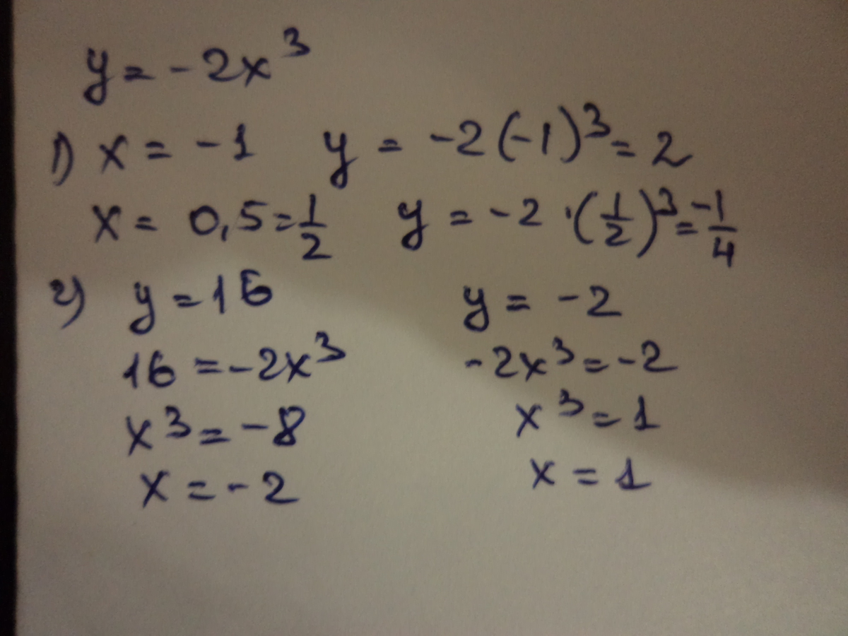
дана функция y= -2x^3 найдите
1 значение функции для x=-1= x0.5
2 значение аргумента если y=16= y=-2
Ответы
Ответ дал:
0
решение во вложениииииииииииииииииииии
Приложения:
Вас заинтересует
3 года назад
3 года назад
8 лет назад
8 лет назад
10 лет назад
10 лет назад
11 лет назад