• Предмет: Алгебра
  • Автор: Style55
  • Вопрос задан 10 лет назад

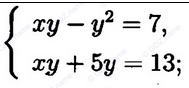
Решить систему!
Ребята, очень срочно!!!!!

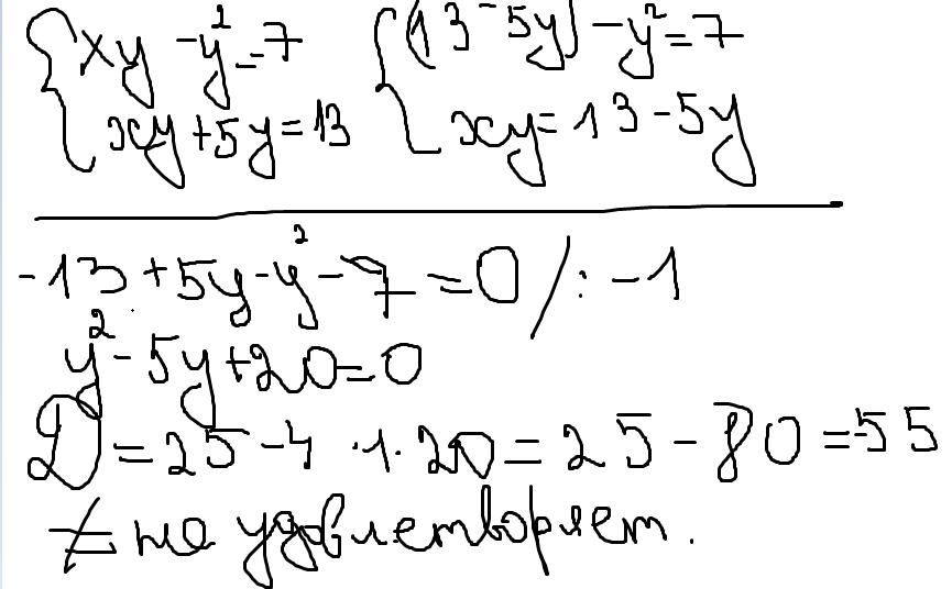
Приложения:

Ответы

Ответ дал: Sam925
0
у меня так,но я не спец
Приложения:
Ответ дал: Style55
0
серовно не так...
Ответ дал: Style55
0
http://znanija.com/task/13720532
Ответ дал: Style55
0
посмотри там
Ответ дал: Style55
0
какие ответы
Ответ дал: Style55
0
я просто не понимаю как они находят
Вас заинтересует