• Предмет: Математика
  • Автор: 963258123
  • Вопрос задан 10 лет назад

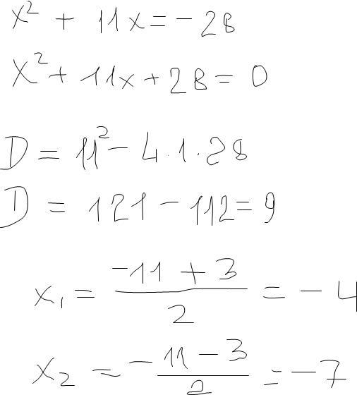
x в квадрате + 11x = -28 реши уравнение

Ответы

Ответ дал: yuliab00
0
x^2+11x+28=0
D=121-4*1*28=121-112=9, D>0 2 корня
х1= -11-3/2=-7      х2=-11+3/2=-4
Ответ дал: maxtetdev
0
Вот такое решение квадратного уравнения.
Приложения:
Вас заинтересует