• Предмет: Алгебра
  • Автор: fesh8
  • Вопрос задан 11 лет назад

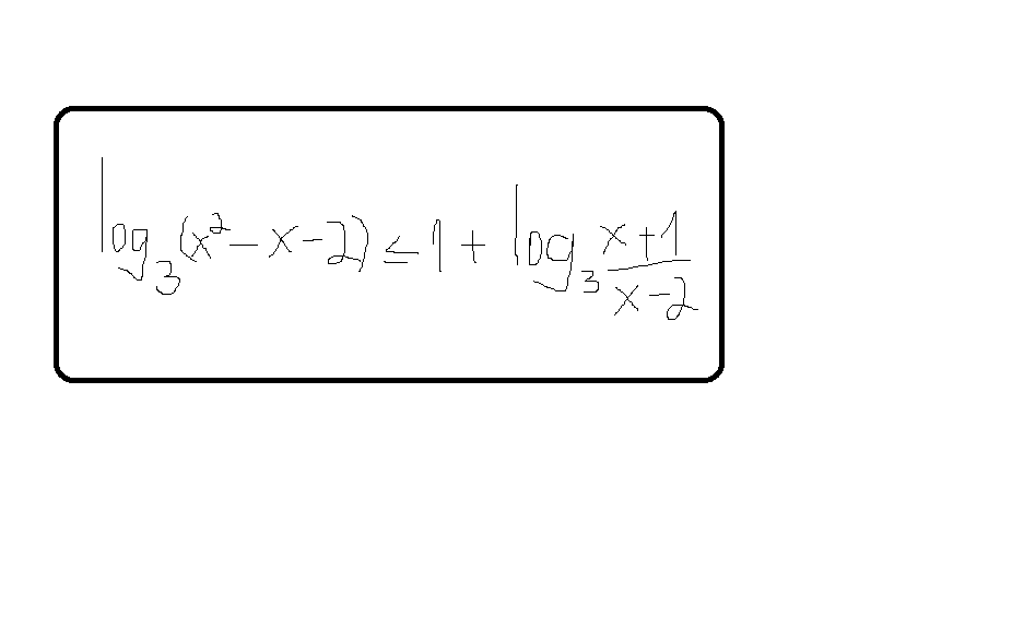
КТО-ТО СМОЖЕТ РЕШИТЬ ЭТО ЛОГАРИФМИЧЕСКОЕ НЕРАВЕНСТВО?? НУ ЖЕ!

Приложения:

Ответы

Ответ дал: Гоша68
0

x^2-x-2>0

(x+1)(x-2)>0

x>2 U x<-1

lg3[(x^2-x-2)]<=lg3[3*(x+1)/(x-2)]

x^2-x-2<=3(x+1)/(x-2)

(x+1)(x-2)<=3(x+1)/(x-2)

f(x)=((x-2)^2-3)/(x-2)<=0

корни (2+sqrt(3)) (2-saqrt(3))

f(0)<0

x>=2+sqrt(3)

 

накладываем область определения.

 

Вас заинтересует