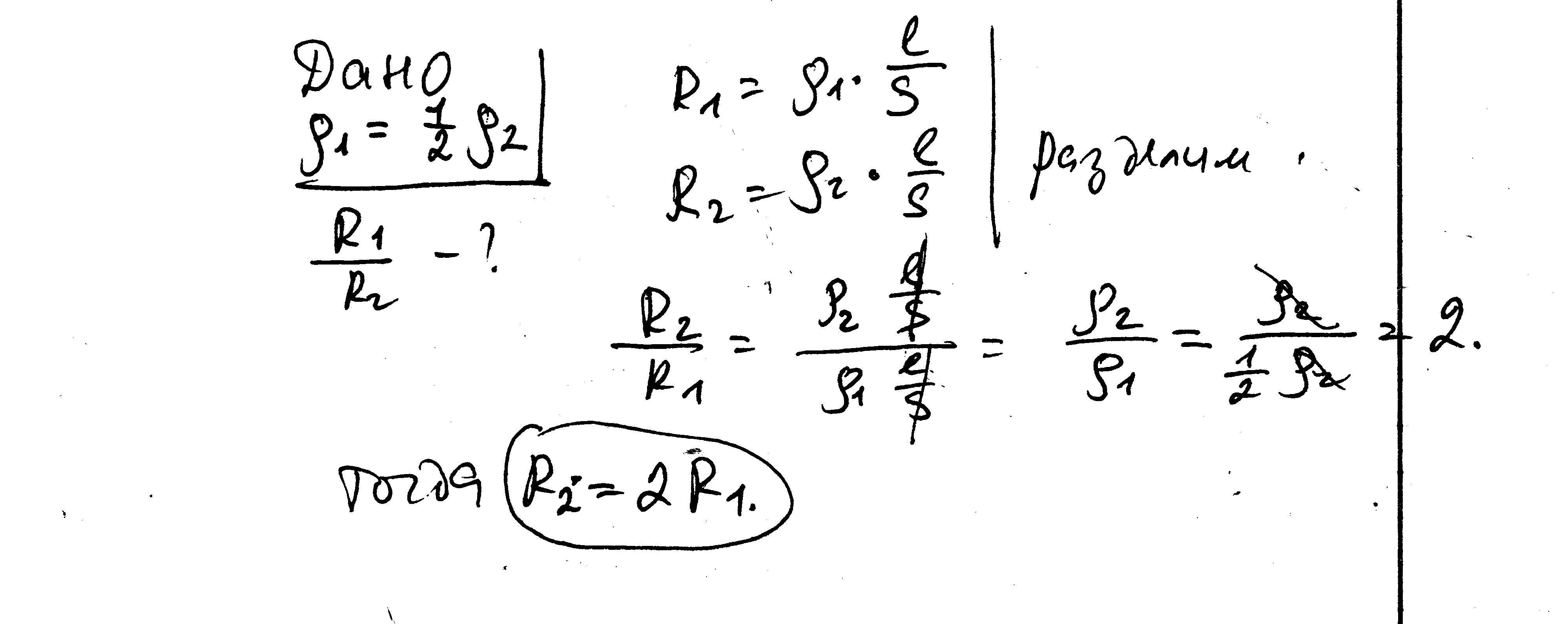
два проводника одинаковой длины и толщины изготовлены из различных мат
ериалов каково соотношение между сопротивлениями R1 и R2 этих проводников? удельное сопротивление первого в 2 раза меньше
варианта ответа: a)R2=2R1
b)R1=2R2
c)R1=R2
d)другой
Ответы
Ответ дал:
0
решение в скане.............
Приложения:

Вас заинтересует
2 года назад
7 лет назад
7 лет назад
10 лет назад
10 лет назад
10 лет назад
10 лет назад