Ответы
Ответ дал:
0
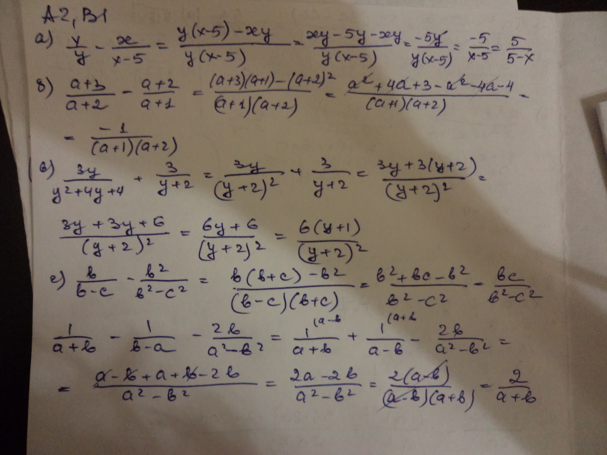
решение во вложенииииииииииииииииииииииииии
Приложения:

Ответ дал:
0
Спасибо тебе мозговитый! =) Я проверил у себя ответы, всё верно!
Ответ дал:
0
Помогииии, пожалуйста нужно срочно!!!! Масса Земли больше массы Луны в 81 раз. Определите расстояние между Землей и Луной, если сила их притяжения равна 1,99 · 1 020 Н
Вас заинтересует
2 года назад
2 года назад
7 лет назад
7 лет назад
10 лет назад
10 лет назад
10 лет назад