• Предмет: Математика
  • Автор: Энни09
  • Вопрос задан 10 лет назад

Помогите решить уравнение:
sin^6 x+cos^6 x=13/14 (sin^4 x+cos^4 x)

Ответы

Ответ дал: nnkalinka
0
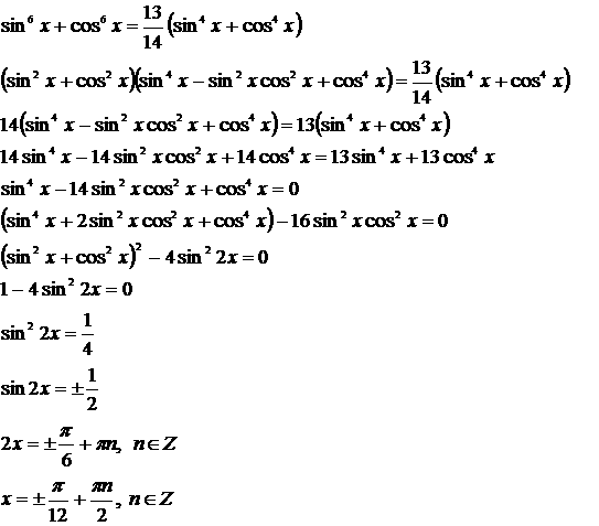
Решение в прикрепленном рисунке
Приложения:
Вас заинтересует