• Предмет: Алгебра
  • Автор: zuber8806
  • Вопрос задан 10 лет назад

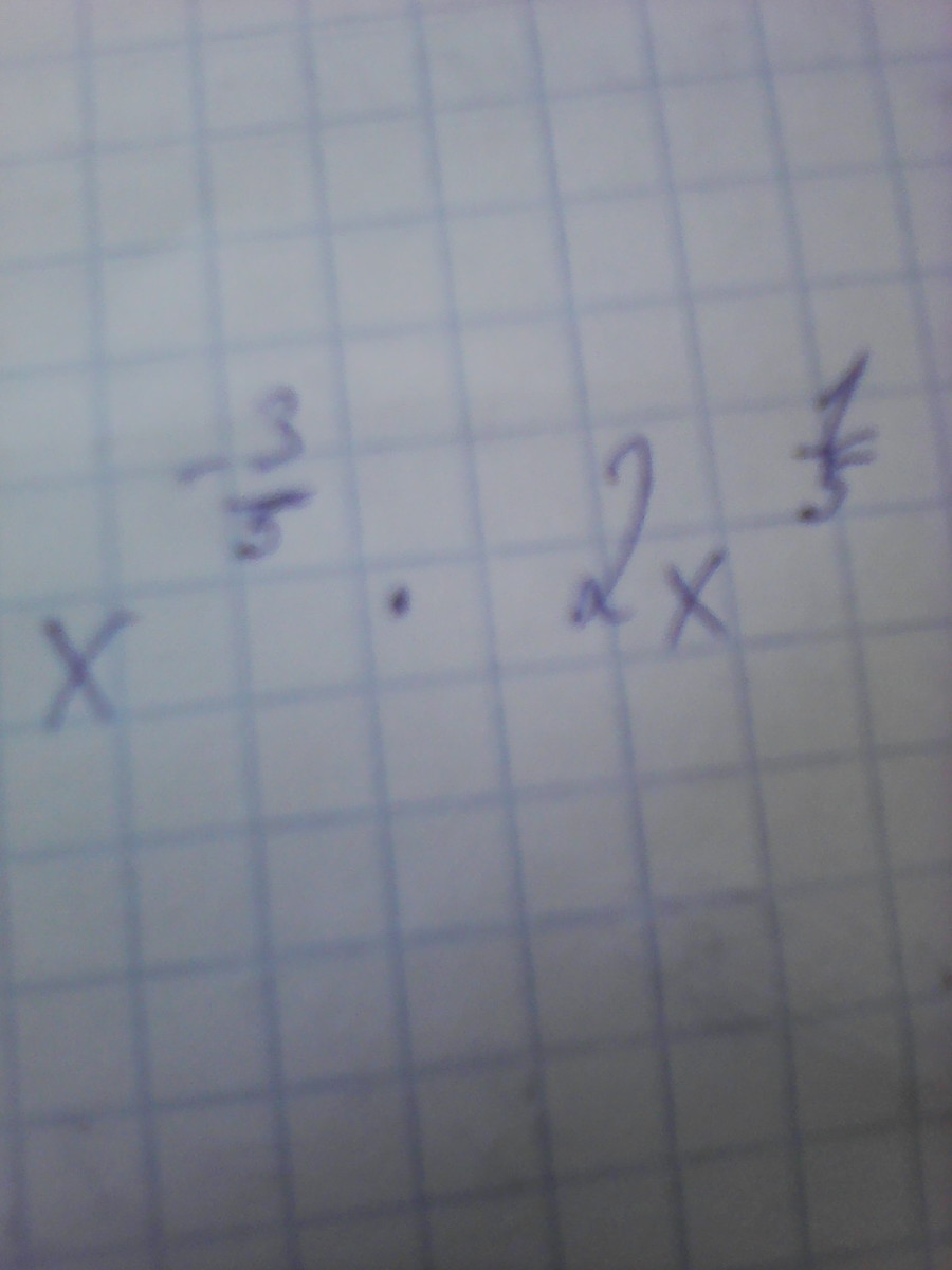
Упростить выражение

Приложения:

Ответы

Ответ дал: Юленька194
0
.....= 2*x^(-3/5 + 1/5)=2*x^(-2/5)
Вас заинтересует