• Предмет: Алгебра
  • Автор: misha2002181
  • Вопрос задан 10 лет назад

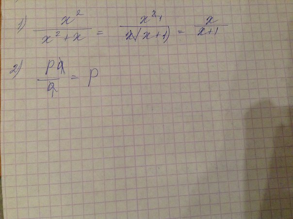
Сократите,пожалуйста.

Приложения:

Ответы

Ответ дал: Elena1171
0
Остальные примеры не видно.
Приложения:
Вас заинтересует