Ответы
Ответ дал:
0
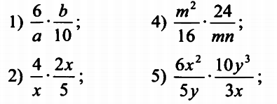
1)сократить на 2 3b/5a
2)сократить на х 8/5
4)сократить на 8m 3m/2n
5)сократить на 3х и 5у 4ху²
2)сократить на х 8/5
4)сократить на 8m 3m/2n
5)сократить на 3х и 5у 4ху²
Вас заинтересует
3 года назад
3 года назад
8 лет назад
10 лет назад
11 лет назад
11 лет назад