• Предмет: Алгебра
  • Автор: lexi7
  • Вопрос задан 11 лет назад

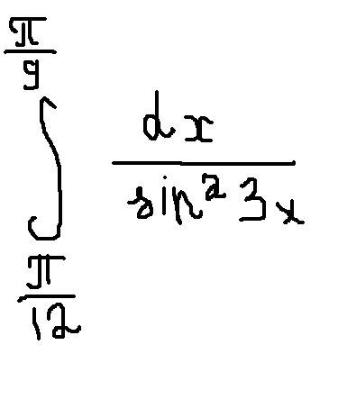
решить интеграл)))))))))))))))))

Приложения:

Ответы

Ответ дал: Milli205
0

-1/3ctg3x по границам от pi/12  до pi/9=-1/3(ctg3pi/12-ctg3pi/9)=-1/3(ctgpi/4-ctgpi/3)=-1/3(1-V3/3)=V3/9-1/3=(V3-3)/9

Вас заинтересует