• Предмет: Алгебра
  • Автор: Monita13
  • Вопрос задан 11 лет назад

Решите уравнение  пожалуйста

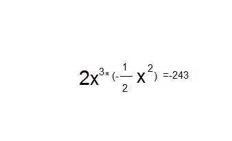
Приложения:

Ответы

Ответ дал: Талла
0

2 * ( - 1/2)*x^3 * x^2= -243

 

 

 - x^5 = - 243

x^5 = 243

x^5= 3^5

x = 5

 

 

 

 

 

 

 

 

 

Вас заинтересует