• Предмет: Алгебра
  • Автор: никаникулечка111
  • Вопрос задан 11 лет назад

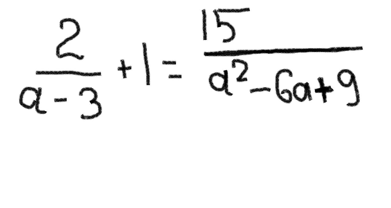
Решите уравнение .Смотрите во вложение.

Приложения:

Ответы

Ответ дал: dimadima177
0
По формуле квадрата разности сверни знаменатель правой дроби (а-3)^2 получится, потом переноси все влево и приводи к общему знаменателю. Далее умножай обе части на знаменатель. И решай квадратное уравнение. Корни его 6 и -2
Ответ дал: oksi10
0

 2    +1=     15  

а-3             а^2 - 6а +9

 

   2        + 1 =       15    

а-3                    ( а - 3 )^2

 

   15     -       2     = 1

(a-3)^2     a-3      

 

  21 - 2a   = 1

(a-3)^2

 

21 - 2a =(a-3)^2

Вас заинтересует