• Предмет: Алгебра
  • Автор: mocor
  • Вопрос задан 10 лет назад

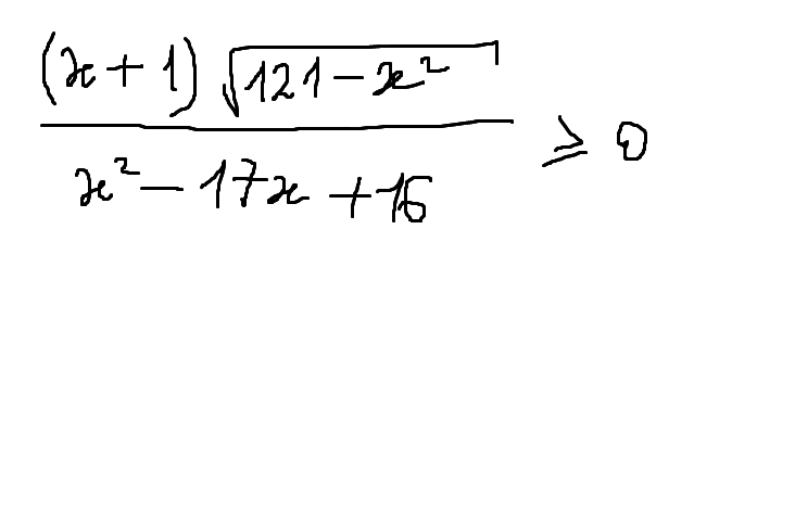
25 баллов, 8 класс, помогите решить неравенство!
Легкое, просто с корнем что делать до меня не доходит..
Заранее спасибо! :з

Приложения:

Ответа на этот вопрос пока нет. Попробуйте найти его через форму поиска.

Вас заинтересует