• Предмет: Математика
  • Автор: Dokerenok
  • Вопрос задан 11 лет назад

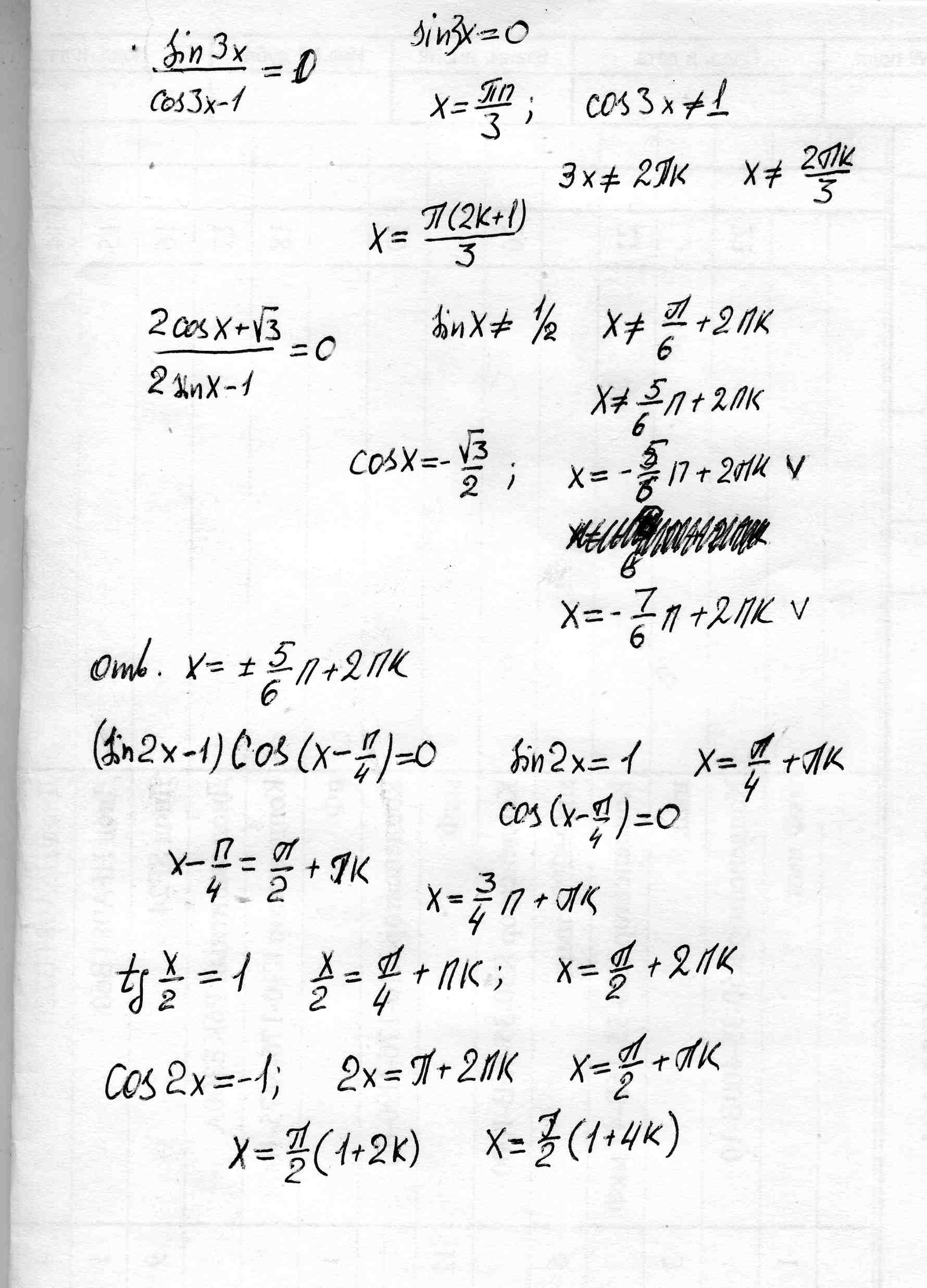
1) frac{2cosx + sqrt{3}}{2sinx-1} = 0

2) frac{sin3x}{cos3x-1} = 0

 

3) (sin 2x - 1) * cos (x-frac{pi}{4}) = 0

4) (tg frac{x}{2} - 1) (cos2x+1) = 0

решите пожалуйсто)

 

 

 

 

Ответы

Ответ дал: Гоша68
0

решение в приложении..................................................

Приложения:
Вас заинтересует