Ответы
Ответ дал:
0
var x,y:real;
begin
write('vvedite x ');
readln(x);
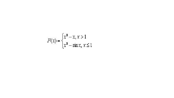
if (x>1) then y:=x*x*x-x else y:=x*x*x-sin(x);
writeln('znachenie functsii=',y)
end.
begin
write('vvedite x ');
readln(x);
if (x>1) then y:=x*x*x-x else y:=x*x*x-sin(x);
writeln('znachenie functsii=',y)
end.
Ответ дал:
0
Спасибо! случайно нарушение отметил
Вас заинтересует
3 года назад
3 года назад
8 лет назад
8 лет назад
10 лет назад
10 лет назад
11 лет назад