• Предмет: Алгебра
  • Автор: Lacheeva
  • Вопрос задан 10 лет назад

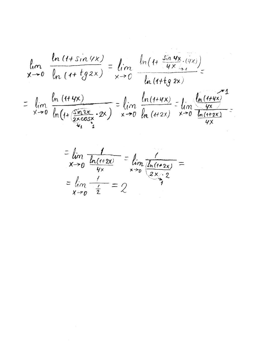
как решить этот лимит ?
lim x->0 (ln(1+sin4x)/ln(1+tg2x)

Ответы

Ответ дал: bearcab
0
Решение в приложении.
Приложения:
Ответ дал: Lacheeva
0
огромное спасибо
Вас заинтересует