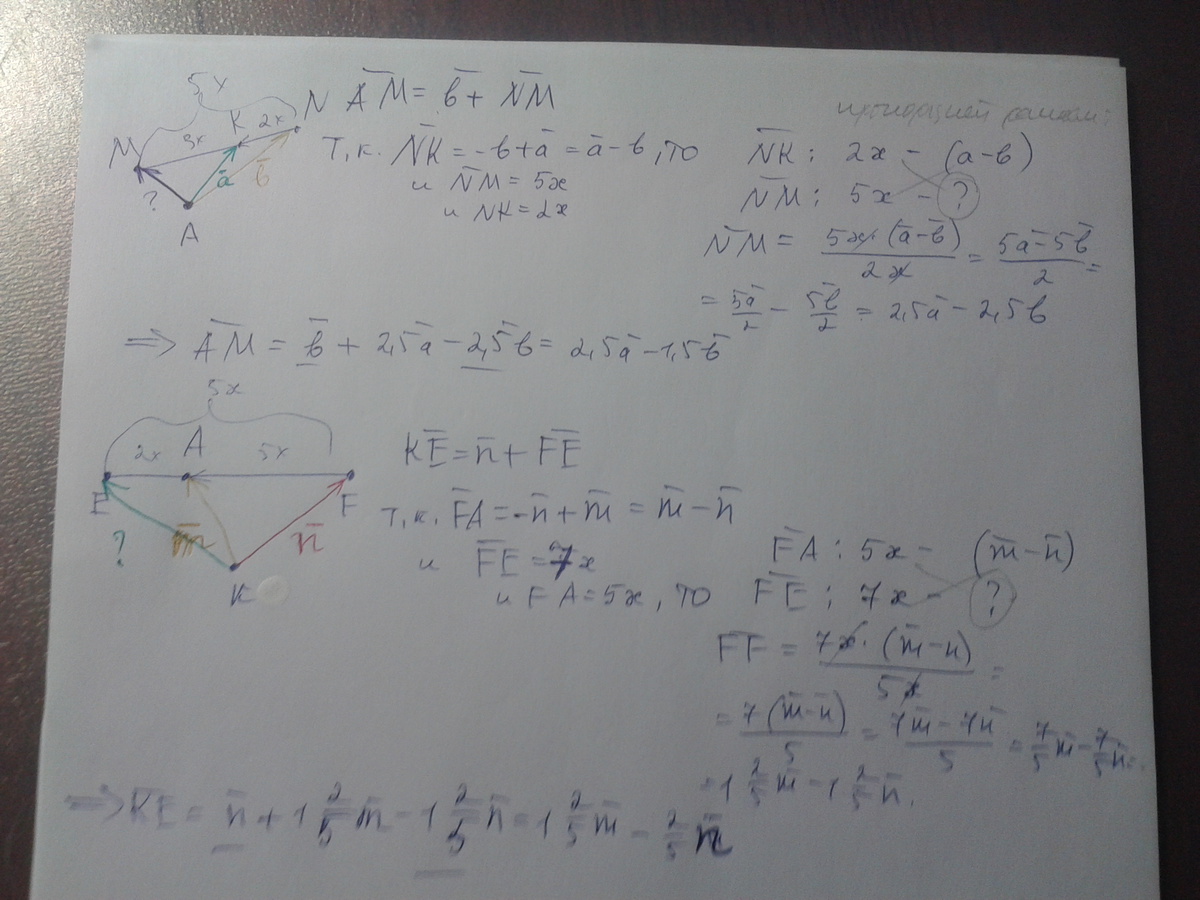
Точка K делит отрезок MN в отношении MK:KN=3:2. Выразите вектор AM через векторы (вектор а = вектору AK) и (вектор b=вектору AN) где А- произвольная точка
_______________________________________________________________________________
Точка A делит отрезок EF в отношении EA:AF=2:5. Выразите вектор KE через векторы (вектор m=вектору KA) И (вектор n = вектору KF), где K-произвольная точка
Киньте решение фоткой пожалуйста.2 задачи
Ответы
Ответ дал:
0
Всё подробно написала в решении.
Приложения:

Ответ дал:
0
Это как алгебра
Ответ дал:
0
Без обьяснений можно?
Ответ дал:
0
О нет.. не надо.. спасибо большое
Вас заинтересует
2 года назад
7 лет назад
7 лет назад
10 лет назад
10 лет назад
10 лет назад