• Предмет: Физика
  • Автор: bashaevh
  • Вопрос задан 10 лет назад

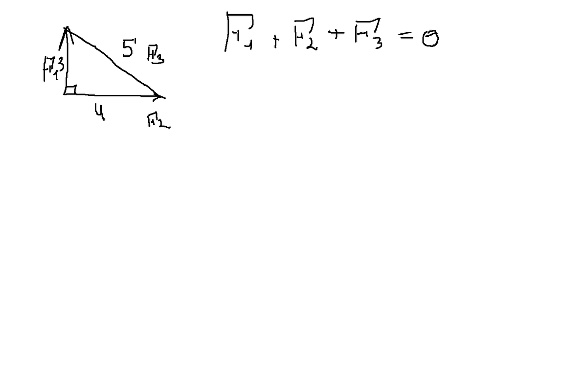
Ученик собрал на столе установку . Тело А под действием трех сил находится в равновесии. Чему равна сила упругости нити АВ, если силы F1 = 3 Н и F2 = 4 Н перпендикулярны друг другу?

Ответы

Ответ дал: blad3518
0
,,,,,,,,,,,,,,,,,,,,,,,,,,,,,
Приложения:
Вас заинтересует