• Предмет: Алгебра
  • Автор: vadiwaiz
  • Вопрос задан 10 лет назад

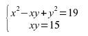
ПОМОГИТЕ РЕШИТЬ СИСТЕМУ УРАВНЕНИЙ. РАСПИШИТЕ ПОДРОБНО, КОНЕЧНЫЕ ОТВЕТЫ Я ЗНАЮ.

Приложения:

Ответа на этот вопрос пока нет. Попробуйте найти его через форму поиска.

Вас заинтересует