Производная сложной функции.Решите хоть какой нибудь из них.
Пожалуйста, помогите решить.Желательно с полным решением.Очень большие проблемы сейчас с этим.Я гуманитарий, но почему то у нас есть математика.
Приложения:

Ответы
Ответ дал:
0
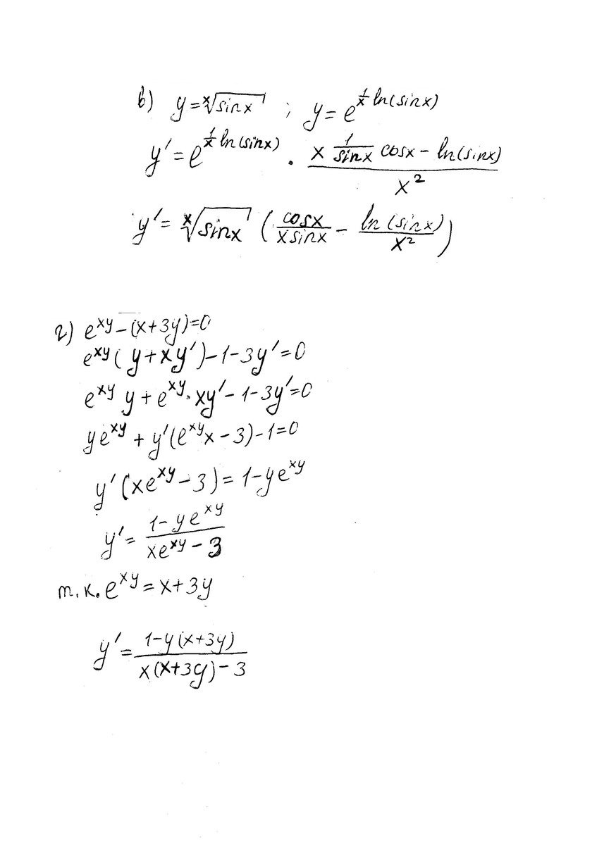
Два последних решила. Решение в приложении.
Приложения:

Вас заинтересует
2 года назад
2 года назад
7 лет назад
10 лет назад
10 лет назад
10 лет назад
10 лет назад