• Предмет: Геометрия
  • Автор: vadim9
  • Вопрос задан 11 лет назад

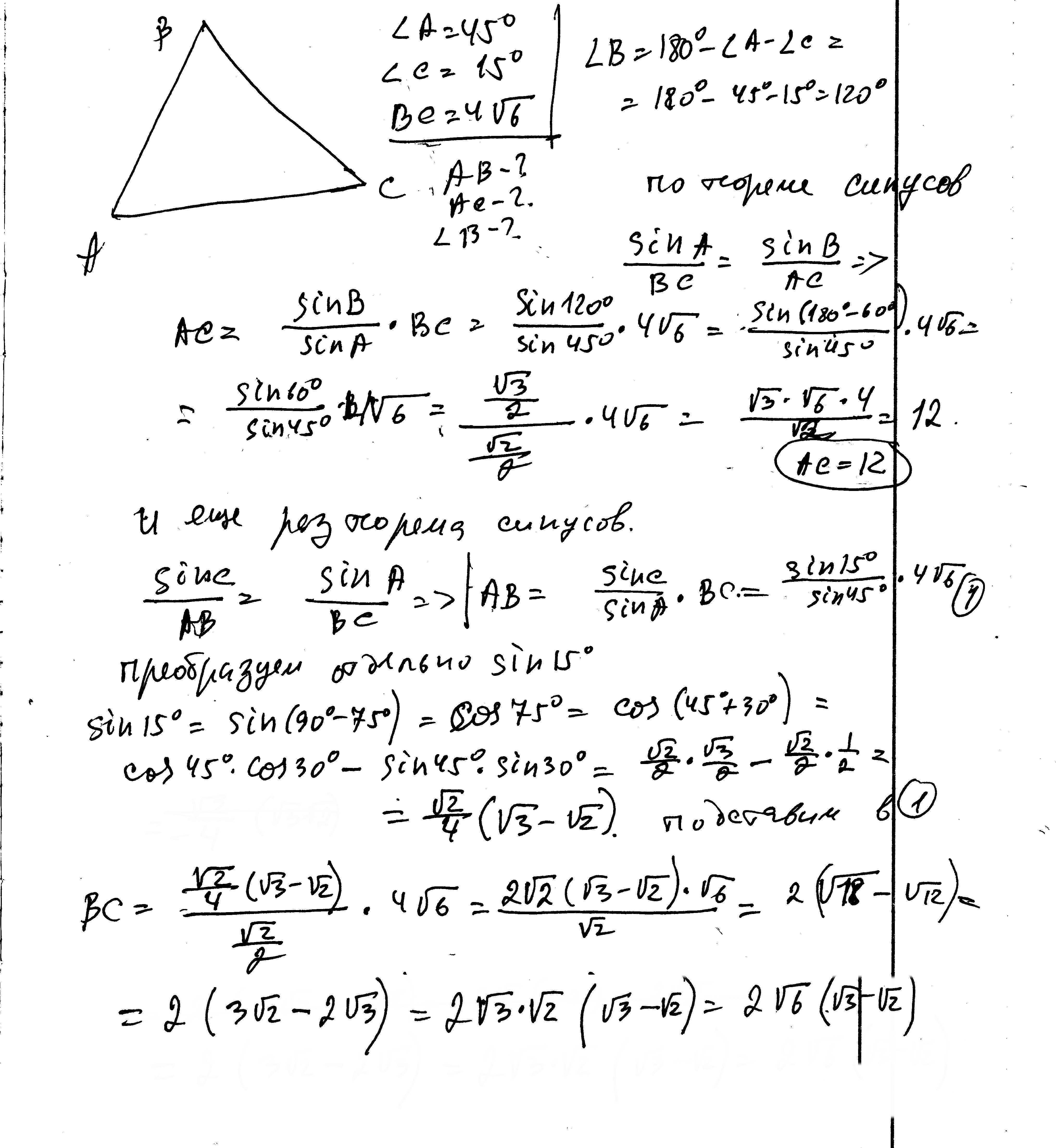
Дано: треугольник АВС угол А=45 угол С=15 ВС=4V6 (4 корней из 6)

Найти: АВ, АС, угол В.

Ответы

Ответ дал: ужнеужели
0
Надеюсь в арифметике не ошибся.
Приложения:
Вас заинтересует