Ответы
Ответ дал:
0
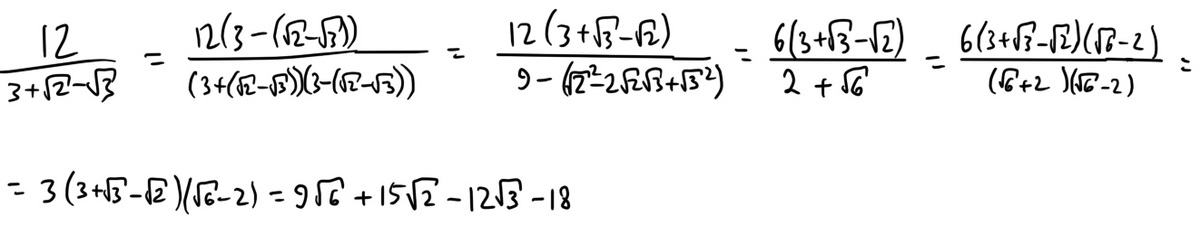
Решение на картинке.
Приложения:

Ответ дал:
0
Спасибо)
Вас заинтересует
2 года назад
7 лет назад
7 лет назад
10 лет назад
10 лет назад
10 лет назад