СРОЧНО НАДО ПОЖАЛУЙСТО ПОМОГИТЕ
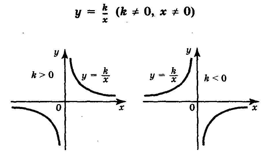
Определите знак числа h зная что график функции y=h/x расположен:
1) в первой и третьей координатных четвертях
2)во второй и четвёртой координатных четвертях
Ответы
Ответ дал:
0
В первом случае h будет положительным. Например функция у=1/х. Ветви её расположены в 1 и 3 четвертях.
Во втором случае h отрицательное и ветви располагаются во второй и четвёртой четвертях.
Во втором случае h отрицательное и ветви располагаются во второй и четвёртой четвертях.
Приложения:
Вас заинтересует
3 года назад
3 года назад
8 лет назад
8 лет назад
10 лет назад
10 лет назад