• Предмет: Алгебра
  • Автор: Аноним
  • Вопрос задан 10 лет назад

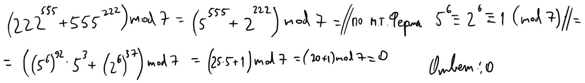
Помогите пожалуйста. Найти остаток от деления чисел 222^555+555^222 на 7

Ответы

Ответ дал: nikolac
0
Решение на картинке.
Приложения:
Ответ дал: Аноним
0
Спасибо большое. Теперь понял как решать
Вас заинтересует