Ответы
Ответ дал:
0
1) Выразим y через x из первого уравнения:
y-2x=2
y=2+2x
2) Подставим получившееся значение y вместо x во второе уравнение:
y-5x^2=-1
2+2x-5x^2=-1
-5x^2+2x+3=0
D=4+60=64
x1=-10/-10=1
x2=-6/10=-0,6
Ответ:-0,6; 1.
Ответ дал:
0
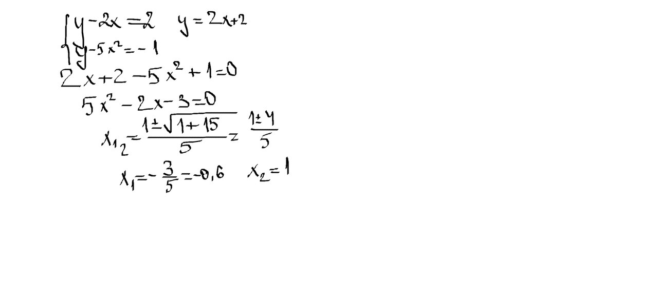
смотри и учись решать!!!
Приложения:

Вас заинтересует
2 года назад
2 года назад
8 лет назад
8 лет назад
10 лет назад
10 лет назад