• Предмет: Алгебра
  • Автор: FrostF12
  • Вопрос задан 10 лет назад

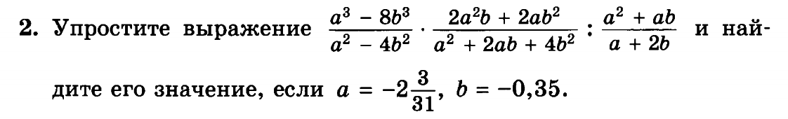
Ребят, выручайте)) У меня не получается сократить. Слишком огромная конечная формула. Буду благодарен:)

Приложения:

Ответы

Ответ дал: ВладимирБ
0
Решение смотри в приложении
Приложения:
Ответ дал: FrostF12
0
Ответ должен быть -7
Ответ дал: FrostF12
0
Ой, нет нет
Ответ дал: FrostF12
0
Все верно
Ответ дал: Ellenochka
0
 frac{ a^{3} -8b^{3}}{a^{2} - 4b^{2}} * frac{ 2a^{2}b+2ab^{2}}{a^{2}+2ab+4b^2} : frac{ a^{2}+ab}{a+2b}= \ = frac{(a-2b)*(a^{2}+2ab+4b^2)*2ab*(a+b)}{(a-2b)*(a^{2}+2ab+4b^2)*(a+2b)} * frac{a+2b}{ a(a+b)}=2b
при b= - 0,35
2*(-0,35)=-0,7
Приложения:
Вас заинтересует