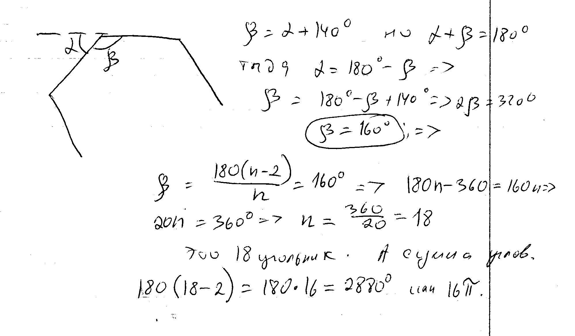
Найдите радианную меру центрального угла правильного многоугольника, если сумма его внешних углов с одним из внутренних равна . 8pi/3 Меньшая диагональ правильного шестиугольника равна 53 см. Найдите периметр шестиугольника. Внешний угол правильного многоугольника меньше внутреннего угла на 140°. Найдите сумму углов данного многоугольника
Ответы
Ответ дал:
0
решение в скане....................
Приложения:


Вас заинтересует
2 года назад
2 года назад
8 лет назад
10 лет назад