• Предмет: Алгебра
  • Автор: strifyla
  • Вопрос задан 11 лет назад

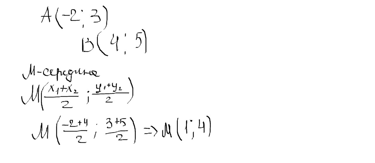
Найдите координаты середины отрезка AB, если A (-2;3) а B (4;5)

Ответы

Ответ дал: ололо18
0

по теореме о координатах середины отрезка. каждая координата середины отрезка равна полусумме одноименных координат этого отрезка

Приложения:
Вас заинтересует