• Предмет: Физика
  • Автор: uuparamonova
  • Вопрос задан 10 лет назад

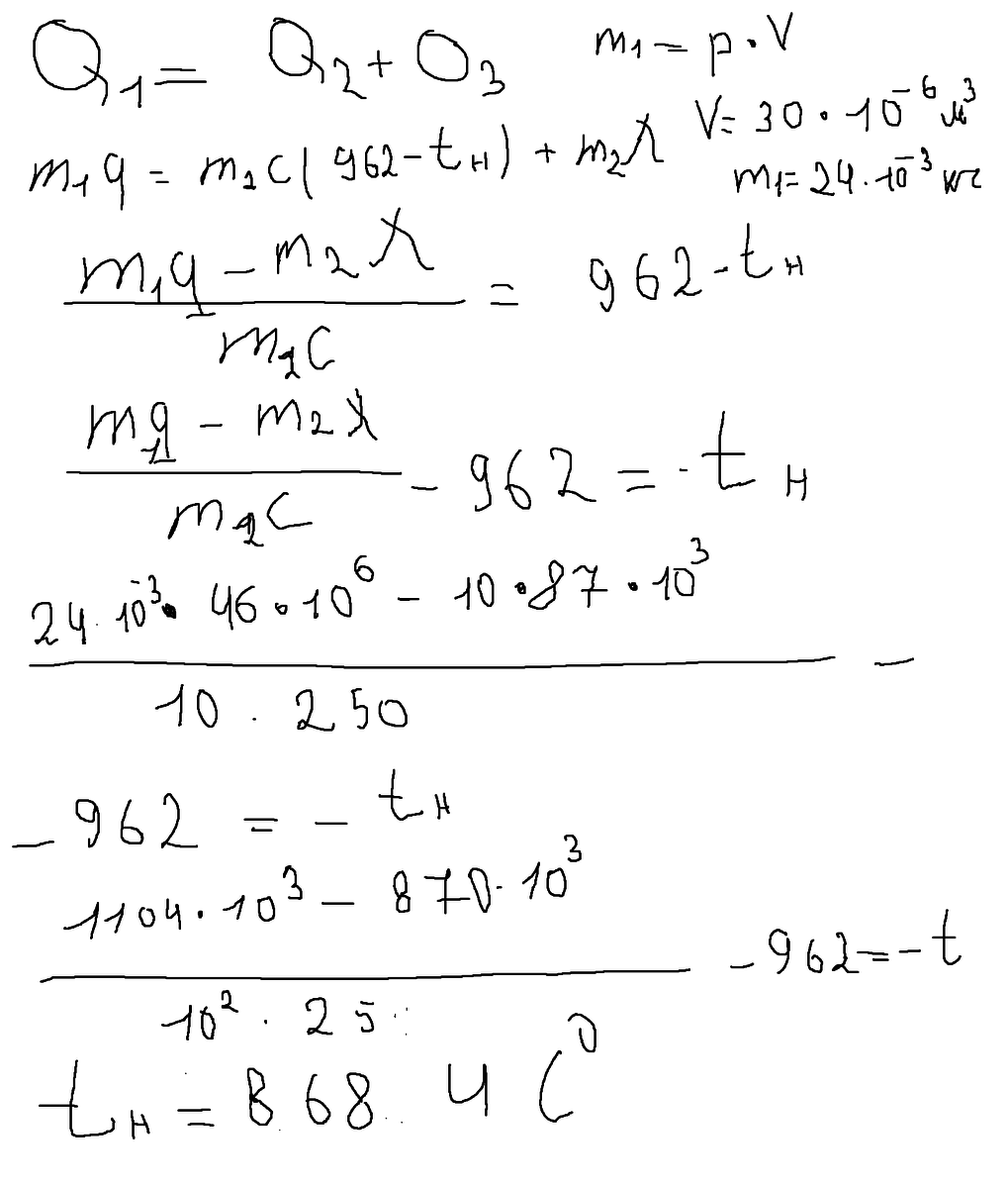
зная, что при полном сгорании керосина объемом v=30мл, выделяется количество теплоты, достаточное для плавления серебра массой m=10кг, определите начальную температуру серебра.

Ответы

Ответ дал: blad3518
0
,,,,,,,,,,,,,,,,,,,,,,,,,,,,,,,,,,,,,,
Приложения:
Ответ дал: id173023882
0
Какой ответ(там не очень понятно написано)
Ответ дал: blad3518
0
868,4
Вас заинтересует