• Предмет: Алгебра
  • Автор: Аноним
  • Вопрос задан 11 лет назад

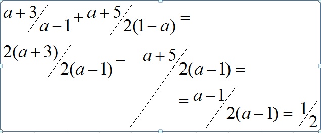
помогите пожалуйста  упростить  выражение    a+3 /a-1+a+5/2-2a=

Ответы

Ответ дал: swallow2303
0

вот в картинке все решение

там я поменяла знаменатель поэтому знак получился другой.

Приложения:
Ответ дал: swaagler
0

 мб так: a -выносим за скобку получаем:

a(1+3+1-2)-1+5/2

3a-1+2.5 (5/2 мы перевели в десятичную дробь)

3a +1.5

 

Ответ: 3a+1.5

 

 

 

 

 

 

 

 

 

 

 

 

 

 

 

 

Приложения:
Вас заинтересует