• Предмет: Алгебра
  • Автор: ЯМария
  • Вопрос задан 11 лет назад

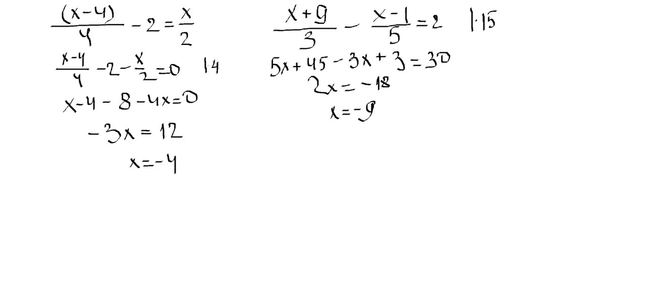
2 Уравнения: (x-4)/4-2=(x/2), (x+9)/3-(x-1)/5=2

Ответы

Ответ дал: miann
0

х - 4 / 4 - 2 = x / 2

x - 4 / 2-x / 2 =0

( x - 4 - x ) / 2 =0

- 4 / 2 = - 2

Ответ : - 2

Ответ дал: ололо18
0

смотри и учись, проще простого

Приложения:
Вас заинтересует