• Предмет: Математика
  • Автор: Camper7686
  • Вопрос задан 10 лет назад

Помогите решить пример,выразив его через второй замечательный предел:
Там нужно только представить и красиво все получится.Спасибо.

Приложения:

Ответы

Ответ дал: IUV
0
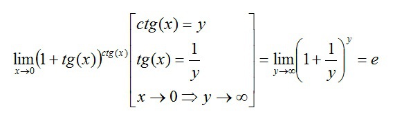
действительно все просто - решение на картинке

Приложения:
Вас заинтересует