• Предмет: Алгебра
  • Автор: Царинка
  • Вопрос задан 10 лет назад

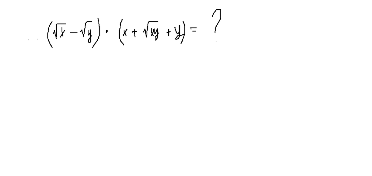
прошу обьясните как решается?

Приложения:

Ответа на этот вопрос пока нет. Попробуйте найти его через форму поиска.

Вас заинтересует