• Предмет: Алгебра
  • Автор: BJIADA
  • Вопрос задан 10 лет назад

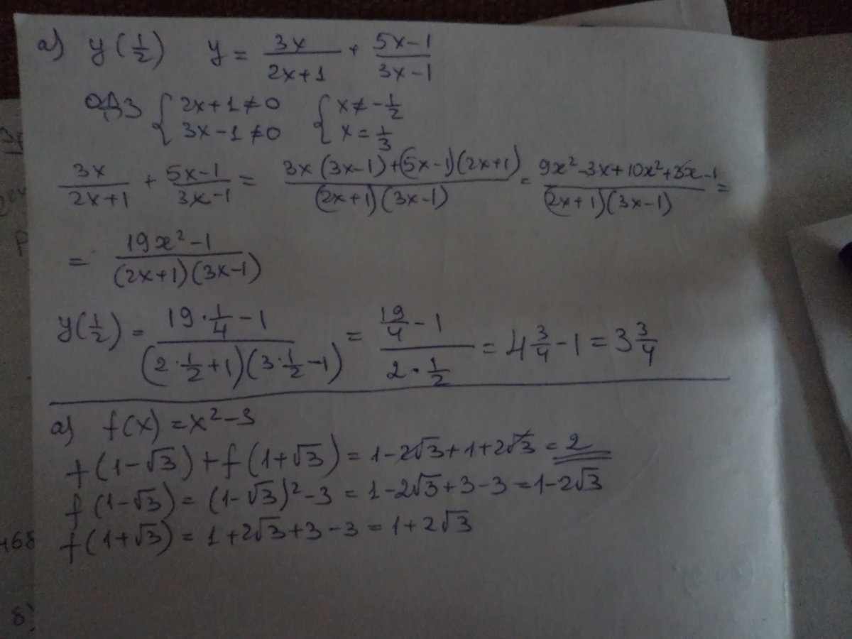
1.403, 1.404 под буквами "а"

Приложения:

Ответы

Ответ дал: Artem112
0
y= frac{3x}{2x+1} + frac{5x-1}{3x-1} 
\
y( frac{1}{2} )= frac{3cdot frac{1}{2} }{2cdot frac{1}{2} +1} + frac{5cdot frac{1}{2} -1}{3cdot frac{1}{2} -1} =frac{frac{3}{2} }{1 +1} + frac{frac{5}{2} -1}{ frac{3}{2} -1} =
frac{frac{3}{2} }{2} + frac{frac{3}{2} }{ frac{1}{2}} =frac{3}{4} } + frac{3}{1}=3 frac{3}{4} =3.75

f(x)=x^2-3
\
f(1- sqrt{3} )+f(1+sqrt{3} )=(1-sqrt{3} )^2-3+(1+sqrt{3} )^2-3=
\
=1-2sqrt{3} +3-3+1+2sqrt{3} +3-3=2
Ответ дал: BJIADA
0
http://znanija.com/task/13842421 С этим не помогите?
Ответ дал: Mydrый
0
решение во вложенииииииииииииииииииииииииии
Приложения:
Вас заинтересует