• Предмет: Физика
  • Автор: аннета225
  • Вопрос задан 11 лет назад

Решите пожалуйста.!!!

 

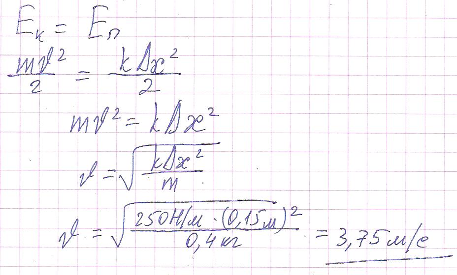
Груз массой 400 г совершает гармонические колебания на прежине жесткостью 250Н/м с амплитудой 15 см. Найдите максимальную скорость груза. 

Ответы

Ответ дал: Artem112
0

надеюсь будет понятно...

Приложения:
Ответ дал: WiLdToNnY
0

 

Превращение энергии при механических колебаниях. При колебательном движении маятника всегда происходит переодические взаимные превращения его кинетической и потенциальной энергии. Тогда в этом случае максимальная потенциальная энегргия пружины определяется по формуле  и E_{k}=frac{m*v^{2}}{2}, выразим из формулы кинетической энергии скорость v^{2}=frac{2*E}{m} <<- в этой формуле вместо энергии (E) подставим формулу потенциальной энергии и получим ⇒ 

v^{2} = frac{2*frac{k*A^{2}}{2}}{m} = frac{k*A^{2}}{m}. Не забываем переводить в систему СИ: 400 г = 0,4 кг, 15 см = 0,15 м. Осталось только подставить...

v^{2}= frac{250*0,15^{2}}{0,4} 

v=3,75 (м/с).

Ответ: v = 3,75 м/с.

 

Приложения:
Вас заинтересует