• Предмет: Алгебра
  • Автор: Аноним
  • Вопрос задан 11 лет назад

Решить    уравнение

Помогите пожалуйста                

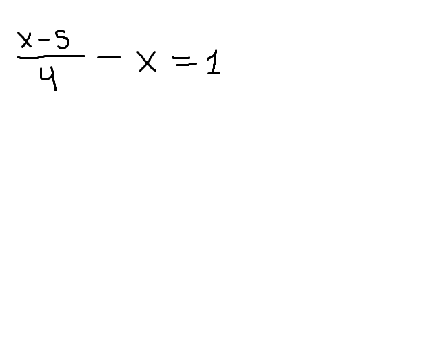
x - 5                                                                                                                                      

____  - x = 1

   4                                

 

Приложения:

Ответы

Ответ дал: Julia1508
0

x - 5 - 4x = 1

______

      4

По правилам пропорции:

-3x - 5 = 4

-3x = 9

x = -3

Ответ: x=-3

Ответ дал: Mandarinka2609
0

1. Приводим уравнение к общему знаменателю (4) и умножаем части уравнения на дополнительный множитель:

x-5-4x=4

2. Переносим неизвестные в одну сторону, а известные в другую, меняя знаки на противоположные:

х-4х=4+5

3. Выполняем действия с подобными слагаемыми:

-3х=9

4. Решаем обыкновенное уравнение:

х=9:(-3)

х=-3

Вас заинтересует