• Предмет: Математика
  • Автор: Rextek
  • Вопрос задан 10 лет назад

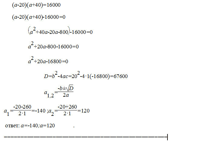
(а – 20)(а + 40) = 16 000 a=?

Ответы

Ответ дал: triolana
0
==========================================
Приложения:
Ответ дал: Rextek
0
нет там умножается
Ответ дал: Rextek
0
у тебя не правильно
Ответ дал: triolana
0
правильно
Ответ дал: Rextek
0
нет
Ответ дал: Rextek
0
там идет умножение а ты складываешь
Ответ дал: Мила1111111111111
0
вот так я так думаю , а=15980, а=15960
Приложения:
Вас заинтересует