Ответы
Ответ дал:
0
1) (√7 - √3)(√7 + √3) = (√7)² - (√3)² = 7 - 3 = 4
2)2∛3 = ∛2³*3 = ∛8*3 = ∛24
3
=
=
= ![sqrt[4]{27} sqrt[4]{27}](https://tex.z-dn.net/?f=+sqrt%5B4%5D%7B27%7D+)
3. На рисунке
2)2∛3 = ∛2³*3 = ∛8*3 = ∛24
3
3. На рисунке
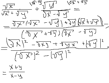
Приложения:

Ответ дал:
0
дякую
Ответ дал:
0
))
Ответ дал:
0
)))
Вас заинтересует
2 года назад
2 года назад
7 лет назад
7 лет назад
10 лет назад
10 лет назад
10 лет назад